modelli di automa
modello di Mealy
secondo il modello di Mealy, l’automa a stati finiti è la struttura matematica che ha:
-
: un’alfabeto finito di ingresso in cui sono scritti gli input
-
: un’insieme finito di stati che può assumere la memoria (rappresentati nel diagramma dal contenuto dei cerchi)
-
: è la funzione di transizione (rappresentate nel diagramma come gli archi tra i cerchi). Il suo dominio è e il suo codominio è . Esempio: (0, 01) → 01
-
è l’alfabeto finito di uscita
-
è la funzione di uscita
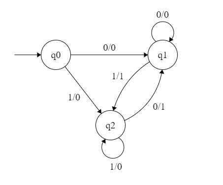
Esempio di macchina di Mealy (foto da geeksforgeeks.org)

modello di Moore
Differisce dal modello di Mealy solo per la funzione di uscita , qui definita come
Nel modello di Moore, l’uscita prodotta dallo stato dell’automa + lo stato dell’automa stesso sono considerati come un singolo stato.
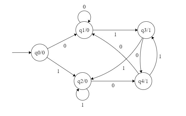
Esempio di macchina di Moore (foto da geeksforgeeks.org)

tabella dell’automa
Una tavola degli stati futuri può essere rappresentata come tabella dell’automa, le cui caselle rappresentano lo stato futuro dell’automa a partire dallo stato (sulla riga) avendo un’input (sulla colonna).
| stati / input | 0 | 1 |
|---|---|---|
Automa dei linguaggi regolari
Delle regex (espressioni regolari) di un linguaggio regolare possono essere riconosciute e prodotte da un automa a stati finiti secondo le regole del linguaggio. C’è un teorema di equivalenza che stabilisce un parallelismo tra automi a stati finiti e definizioni di linguaggi regolari.